4月1日起建筑要强制进行碳排放计算!如何算
住房和城乡建设部发布国家标准《建筑节能与可再生能源利用通用规范》的公告。批准《建筑节能与可再生能源利用通用规范》为国家标准,编号为GB 55015-2021,自2022年4月1日起实施。本规范为强制性工程建设规范,全部条文必须严格执行。现行工程建设标准相关强制性条文同时废止。 现行工程建设标准中有关规定与本规范不一致的,以本规范的规定为准。 ![]()
![]() 那建筑物如何进行碳排放计算呢? 2019年住房和城乡建设部批准《建筑碳排放计算标准》为国家标准,编号为GB/T51366-2019明确了建筑碳排放计算标准,明确了建筑物排放的定义,计算边界,排放因子以及计算方法! 建筑碳排放是指建筑物在与其有关的建材生产及运输、建造及拆除、运行阶段产生的温室气体排放的总和,以二氧化碳当量表示。 计算边界是指 与建筑物建材生产及运输、建造及拆除、运行等活动相关的温室气体排放的计算范围。建筑碳汇是指在划定的建筑物项目范围内,绿化、植被从空气中吸收并存储的二氧化碳量。
《建筑碳排放计算标准》全文
总 则 1 总 则
1.0.1 为贯彻国家有关应对气候变化和节能减排的方针政策,规范建筑碳排放计算方法,节约资源,保护环境,制定本标准。
1.0.2 本标准适用于新建、扩建和改建的民用建筑的运行、建造及拆除、建材生产及运输阶段的碳排放计算。 1.0.3 建筑碳排放计算除应符合本标准外,尚应符合国家现行有关标准的规定。 2 术语和符号 2.1 术 语2.1 术 语
2.1.1 建筑碳排放 building carbon emission
建筑物在与其有关的建材生产及运输、建造及拆除、运行阶段产生的温室气体排放的总和,以二氧化碳当量表示。 2.1.2 计算边界 accounting boundary
与建筑物建材生产及运输、建造及拆除、运行等活动相关的温室气体排放的计算范围。 2.1.3 碳排放因子 carbon emission factor
将能源与材料消耗量与二氧化碳排放相对应的系数,用于量化建筑物不同阶段相关活动的碳排放。 2.1.4 建筑碳汇 carbon sink of buildings 在划定的建筑物项目范围内,绿化、植被从空气中吸收并存储的二氧化碳量。 2.1.5 全球变暖潜值 global warming potential
在固定时间范围内1kg物质与1kg二氧化碳(CO2)的脉冲排放引起的时间累积辐射力的比率。 2.2 符 号2.2 符 号
2.2.1 几何尺寸 A——建筑面积; Ac——太阳集热器面积; Ai——第i个房间照明面积; Ap——光伏系统光伏面板净面积; Aw——风机叶片迎风面积; D——风机叶片直径; Di——第i种建材平均运输距离。 2.2.2 碳排放量 CCC——建筑拆除阶段单位建筑面积的碳排放量; Cp——建筑绿地碳汇系统年减碳量; CM——建筑运行阶段单位建筑面积碳排放量; Cr——建筑使用制冷剂产生的碳排放量; CJC——建材生产及运输阶段单位建筑面积的碳排放量; CJZ——建筑建造阶段单位建筑面积的碳排放量; Csc——建材生产阶段碳排放; Cys——建材运输过程碳排放。 2.2.3 能源供给、消耗量 Ee——年电梯能耗; Ei——建筑第i类能源年消耗量; Ecc——建筑拆除阶段能源用量; Ecc,i——建筑拆除阶段第i种能源总用量; Ecs——措施项目总能源用量; Ei,j——j类系统的第i类能源消耗量; Ejz——建筑建造阶段总能源用量; Ejz,i——建筑建造阶段第i种能源总用量; Ejj,i——第i个项目中,小型施工机具不列入机械台班消耗量,但其消耗的能源列入材料的部分能源用量; Efx——分部分项工程总能源用量; EFi——第i类能源的碳排放因子; E1——照明系统年能耗; Epv——光伏系统的年发电量; Estandby——电梯待机时能耗; ERi,j——j类系统消耗由可再生能源系统提供的第i类能源量; Ewt——风力发电机组的年发电量; Ew——生活热水系统年能源消耗; I——光伏电池表面的年太阳辐射照度; JT——太阳集热器采光面上的年平均太阳辐照量; Mi——第i种主要建材的消耗量; P——特定能量消耗; Pi,j——第j日第i个房间照明功率密度值; Pp——应急灯照明功率密度; Qcc,i——第i个拆除项目的工程量; Qr——生活热水年耗热量; Qrp——生活热水小时平均耗热量; Qs——太阳能系统提供的生活热水热量; Qs,a——太阳能热水系统的年供能量; Qfx,i——分部分项工程中第i个项目的工程量; Qcs,i——措施项目中第i个项目的工程量; qr——热水用水定额; Rj——第i个项目第j种施工机械单位台班的能源用量; Ti——第i种建材的运输方式下,单位重量运输距离的碳排放因子; Ti,j——第i个项目单位工程量第j种施工机械台班消耗量; TA-i,j——第i个措施项目单位工程量第j种施工机械台班消耗量; TB-i,j——第i个拆除项目单位工程量第j种施工机械台班消耗量。 2.2.4 计算系数 APD——年平均能量密度; CR(z)——依据高度计算的粗糙系数; EPF——根据典型气象年数据中逐时风速计算出的因子; Fi——第i种主要建材的碳排放因子; ffx,i——分部分项工程中第i个项目的能耗系数; fcs,i——措施项目中第i个项目的能耗系数; fcc,i——第i个拆除项目每计量单位的能耗系数; GWPr——制冷剂r的全球变暖潜值; KE——光伏电池的转换效率; KS——光伏系统的损失效率; m——用水计算单位数; KWT——风力发电机组的转换效率; ηr——生活热水输配效率; ηw——生活热水系统热源年平均效率; ηcd——基于总面积的集热器平均集热效率; ηL——管路和储热装置的热损失率。 2.2.5 风速、温度、密度和时间 mr——制冷剂充注量; ti,j——第j日第i个房间照明时间; T——年生活热水使用小时数; ta——电梯年平均运行小时数; tr——设计热水温度; tl——设计冷水温度; ts——电梯年平均待机小时数; V——电梯速度; V0——年可利用平均风速; Vi——逐时风速; W——电梯额定载重量; y——建筑设计寿命; ye——设备使用寿命; ρ——空气密度; ρr——热水密度。 2.2.6 其他 KR——场地因子; r——制冷剂类型; z0——地表粗糙系数。 3 基本规定 3 基本规定
3.0.1 建筑物碳排放计算应以单栋建筑或建筑群为计算对象。
3.0.2 建筑碳排放计算方法可用于建筑设计阶段对碳排放量进行计算,或在建筑物建造后对碳排放量进行核算。
3.0.3 建筑物碳排放计算应根据不同需求按阶段进行计算,并可将分段计算结果累计为建筑全生命期碳排放。
3.0.4 碳排放计算应包含《IPCC国家温室气体清单指南》中列出的各类温室气体。
3.0.5 建筑运行、建造及拆除阶段中因电力消耗造成的碳排放计算,应采用由国家相关机构公布的区域电网平均碳排放因子。
3.0.6 建筑碳排放量应按本标准提供的方法和数据进行计算,宜采用基于本标准计算方法和数据开发的建筑碳排放计算软件计算。 4 运行阶段碳排放计算 4.1 一般规定4.1 一般规定
4.1.1 建筑运行阶段碳排放计算范围应包括暖通空调、生活热水、照明及电梯、可再生能源、建筑碳汇系统在建筑运行期间的碳排放量。
4.1.2 碳排放计算中采用的建筑设计寿命应与设计文件一致,当设计文件不能提供时,应按50年计算。
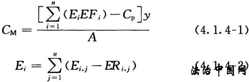
4.1.3 建筑物碳排放的计算范围应为建设工程规划许可证范围内能源消耗产生的碳排放量和可再生能源及碳汇系统的减碳量。 4.1.4 建筑运行阶段碳排放量应根据各系统不同类型能源消耗量和不同类型能源的碳排放因子确定,建筑运行阶段单位建筑面积的总碳排放量(CM)应按下列公式计算:
式中:CM——建筑运行阶段单位建筑面积碳排放量(kgC02/m2); Ei——建筑第i类能源年消耗量(单位/a); EFi——第i类能源的碳排放因子,按本标准附录A取值; Ei,j——j类系统的第i类能源消耗量(单位/a); ERi,j——j类系统消耗由可再生能源系统提供的第i类能源量(单位/a); i——建筑消耗终端能源类型,包括电力、燃气、石油、市政热力等; j——建筑用能系统类型,包括供暖空调、照明、生活热水系统等; Cp——建筑绿地碳汇系统年减碳量(kgC02/a); y——建筑设计寿命(a);
A——建筑面积(m2)。 4.2 暖通空调系统4.2 暖通空调系统
4.2.1 暖通空调系统能耗应包括冷源能耗、热源能耗、输配系统及末端空气处理设备能耗。 4.2.2 暖通空调系统能耗计算方法应符合下列规定: 1 应采用月平均方法计算年累计冷负荷和累计热负荷; 2 应分别设置工作日和节假日室内人员数量、照明功率、设备功率、室内设定温度、供暖和空调系统运行时间; 3 应根据负荷计算结果和室内环境参数计算供暖和供冷起止时间; 4 应反映建筑外围护结构热惰性对负荷的影响; 5 负荷计算时应能够计算不少于10个建筑分区; 6 应计算暖通空调系统间歇运行对负荷计算结果的影响; 7 应考虑能源系统形式、效率、部分负荷特性对能耗的影响; 8 计算结果应包括负荷计算结果、按能源类型输出系统能耗计算结果;
9 建筑运行参数可参照本标准附录B的建筑物运行特征确定。
4.2.3 建筑碳排放计算模型中建筑分区应考虑建筑物理分隔、建筑区域功能、为分区提供服务的暖通空调系统、区域内采光(通过外窗或天窗)情况。 4.2.4 年供暖(供冷)负荷应包括围护结构的热损失和处理新风的热(冷)需求;处理新风的热(冷)需求应扣除从排风中回收的热量(冷量)。
4.2.5 建筑碳排放计算中建筑室内环境计算参数应与设计参数一致,并应符合国家现行相关标准的要求。
4.2.6 建筑碳排放计算气象参数的选取应符合现行行业标准《建筑节能气象参数标准》JGJ/T 346的规定。
4.2.7 建筑碳排放计算应定义建筑围护结构,围护结构的热工性能及构造做法应与设计文件一致。
4.2.8 建筑碳排放计算中应分别计算建筑累积冷负荷和累积热负荷。 4.2.9 建筑碳排放计算中的累积冷热负荷应根据下列内容确定: 1 通过围护结构传入的热量; 2 透过透明围护结构进入的太阳辐射热量; 3 人体散热量; 4 照明散热量; 5 设备、器具、管道及其他内部热源的散热量; 6 食品或物料的散热量; 7 渗透空气带入的热量;
8 伴随各种散湿过程产生的潜热量。 4.2.10 建筑碳排放计算时应计算气密性、风压和热压的作用、人员密度、新风量、热回收系统效率对通风负荷的影响。
4.2.11 建筑累积冷负荷和热负荷应根据建筑物分区的空调系统计算,同一暖通空调系统服务的建筑物分区的冷负荷和热负荷应分别进行求和计算。 4.2.12 根据建筑年供冷负荷和年供暖负荷计算暖通空调系统终端能耗时应根据下列影响因素分别进行计算: 1 供冷供暖系统类型; 2 冷源和热源的效率; 3 泵与风机的能耗情况; 4 末端类型; 5 系统控制策略; 6 系统运行内部冷热抵消等情况; 7 暖通空调系统能量输送介质的影响; 8 冷热回收措施。 4.2.13 暖通空调系统中由于制冷剂使用而产生的温室气体排放,应按下式计算:
式中:Cr——建筑使用制冷剂产生的碳排放量(tC02e/a); r——制冷剂类型; mr——设备的制冷剂充注量(kg/台); ye——设备使用寿命(a);
GWPr——制冷剂r的全球变暖潜值。 4.2.14 建筑物碳排放计算采用的冷热源及相关用能设备的性能参数应与设计文件一致。 4.2.15 建筑冷热源的能耗计算应计入负载、输送过程和末端的冷热量损失等因素的影响。 4.2.16 输送系统的能耗计算应计入水泵与风机的效率、运行时长、实际工作状态点的负载率、变频等因素的影响。 4.3 生活热水系统4.3 生活热水系统
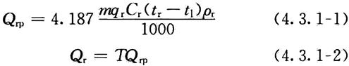
4.3.1 建筑物生活热水年耗热量的计算应根据建筑物的实际运行情况,并应按下列公式计算:
式中:Qr——生活热水年耗热量(kwh/a); Qrp——生活热水小时平均耗热量(kW/h); T——年生活热水使用小时数(h); m——用水计算单位数(人数或床位数,取其一); qr——热水用水定额(L/人),按现行国家标准《民用建筑节水设计标准》GB 50555确定; ρr——热水密度(kg/L); tr——设计热水温度(℃);
tl——设计冷水温度(℃)。 4.3.2 建筑生活热水系统能耗应按下式计算,且计算采用的生活热水系统的热源效率应与设计文件一致。
式中:Ew——生活热水系统年能源消耗(kwh/a); Qr——生活热水年耗热量(kWh/a); Qs——太阳能系统提供的生活热水热量(kWh/a); ηr——生活热水输配效率,包括热水系统的输配能耗、管道热损失、生活热水二次循环及储存的热损失(%);
ηw——生活热水系统热源年平均效率(%)。 4.4 照明及电梯系统4.4 照明及电梯系统
4.4.1 建筑碳排放计算采用的照明功率密度值应同设计文件一致。
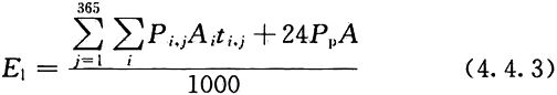
4.4.2 照明系统能耗计算应将自然采光、控制方式和使用习惯等因素影响计入。 4.4.3 照明系统无光电自动控制系统时,其能耗计算可按下式计算:
式中:E1——照明系统年能耗(kwh/a); Pi,j——第j日第i个房间照明功率密度值(W/m2); Ai——第i个房间照明面积(m2); ti,j——第j日第i个房间照明时间(h); Pp——应急灯照明功率密度(W/m2);
A——建筑面积(m2)。
4.4.4 电梯系统能耗应按下式计算,且计算中采用的电梯速度、额定载重量、特定能量消耗等参数应与设计文件或产品铭牌一致。
式中:Ee——年电梯能耗(kWh/a); P——特定能量消耗(mWh/kgm); ta——电梯年平均运行小时数(h); V——电梯速度(m/s); W——电梯额定载重量(kg); Estandby——电梯待机时能耗(W);
ts——电梯年平均待机小时数(h)。
4.5 可再生能源系统4.5 可再生能源系统
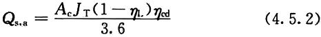
4.5.1 可再生能源系统应包括太阳能生活热水系统、光伏系统、地源热泵系统和风力发电系统。 4.5.2 太阳能热水系统提供能量可按下式计算:
式中:Qs,a——太阳能热水系统的年供能量(kwh); Ac——太阳集热器面积(m2); JT——太阳集热器采光面上的年平均太阳辐照量(MJ/m2); ηcd——基于总面积的集热器平均集热效率(%); ηL——管路和储热装置的热损失率(%)。 4.5.3 太阳能热水系统提供的能量不应计入生活热水的耗能量。
4.5.4 地源热泵系统的节能量应计算在暖通空调系统能耗内。 4.5.5 光伏系统的年发电量可按下式计算:
式中:Epv——光伏系统的年发电量(kWh); I——光伏电池表面的年太阳辐射照度(kwh/m2); KE——光伏电池的转换效率(%); KS——光伏系统的损失效率(%);
Ap——光伏系统光伏面板净面积(m2)。 4.5.6 风力发电机组年发电量可按下列公式计算:
式中:Ewt——风力发电机组的年发电量(kwh); ρ——空气密度,取1.225kg/m3; CR(z)——依据高度计算的粗糙系数; KR——场地因子; z0——地表粗糙系数; V0——年可利用平均风速(m/s); Aw——风机叶片迎风面积(m2); D——风机叶片直径(m); EPF——根据典型气象年数据中逐时风速计算出的因子; APD——年平均能量密度(W/m2); Vi——逐时风速(m/s);
KWT——风力发电机组的转换效率。
4.5 可再生能源系统4.5 可再生能源系统
4.5.1 可再生能源系统应包括太阳能生活热水系统、光伏系统、地源热泵系统和风力发电系统。 4.5.2 太阳能热水系统提供能量可按下式计算:
式中:Qs,a——太阳能热水系统的年供能量(kwh); Ac——太阳集热器面积(m2); JT——太阳集热器采光面上的年平均太阳辐照量(MJ/m2); ηcd——基于总面积的集热器平均集热效率(%); ηL——管路和储热装置的热损失率(%)。 4.5.3 太阳能热水系统提供的能量不应计入生活热水的耗能量。 4.5.4 地源热泵系统的节能量应计算在暖通空调系统能耗内。 4.5.5 光伏系统的年发电量可按下式计算:
式中:Epv——光伏系统的年发电量(kWh); I——光伏电池表面的年太阳辐射照度(kwh/m2); KE——光伏电池的转换效率(%); KS——光伏系统的损失效率(%); Ap——光伏系统光伏面板净面积(m2)。 4.5.6 风力发电机组年发电量可按下列公式计算:
式中:Ewt——风力发电机组的年发电量(kwh); ρ——空气密度,取1.225kg/m3; CR(z)——依据高度计算的粗糙系数; KR——场地因子; z0——地表粗糙系数; V0——年可利用平均风速(m/s); Aw——风机叶片迎风面积(m2); D——风机叶片直径(m); EPF——根据典型气象年数据中逐时风速计算出的因子; APD——年平均能量密度(W/m2); Vi——逐时风速(m/s); KWT——风力发电机组的转换效率。
5 建造及拆除阶段碳排放计算 5.1 一般规定5.1 一般规定
5.1.1 建筑建造阶段的碳排放应包括完成各分部分项工程施工产生的碳排放和各项措施项目实施过程产生的碳排放。
5.1.2 建筑拆除阶段的碳排放应包括人工拆除和使用小型机具机械拆除使用的机械设备消耗的各种能源动力产生的碳排放。 5.1.3 建筑建造和拆除阶段的碳排放的计算边界应符合下列规定: 1 建造阶段碳排放计算时间边界应从项目开工起至项目竣工验收止,拆除阶段碳排放计算时间边界应从拆除起至拆除肢解并从楼层运出止; 2 建筑施工场地区域内的机械设备、小型机具、临时设施等使用过程中消耗的能源产生的碳排放应计入; 3 现场搅拌的混凝土和砂浆、现场制作的构件和部品,其产生的碳排放应计入;
4 建造阶段使用的办公用房、生活用房和材料库房等临时设施的施工和拆除可不计入。 5.2 建筑建造5.2 建筑建造
5.2.1 建筑建造阶段的碳排放量应按下式计算:
式中:CJZ——建筑建造阶段单位建筑面积的碳排放量(kgCO2/m2); Ejz,i——建筑建造阶段第i种能源总用量(kWh或kg); EFi——第i类能源的碳排放因子(kgCO2/kWh或kgCO2/kg),按本标准附录A确定;
A——建筑面积(m2)。
5.2.2 建造阶段的能源总用量宜采用施工工序能耗估算法计算。 5.2.3 施工工序能耗估算法的能源用量应按下式计算: Ejz=Efx+Ecs (5.2.3) 式中:Ejz——建筑建造阶段总能源用量(kwh或kg); Efx——分部分项工程总能源用量(kwh或kg);
Ecs——措施项目总能源用量(kwh或kg)。 5.2.4 分部分项工程能源用量应按下列公式计算:
式中:Qfx,i——分部分项工程中第i个项目的工程量; ffx,i——分部分项工程中第i个项目的能耗系数(kwh/工程量计量单位); Ti,j——第i个项目单位工程量第j种施工机械台班消耗量(台班); Rj——第i个项目第j种施工机械单位台班的能源用量(kwh/台班),按本标准附录C确定,当有经验数据时,可按经验数据确定; Ejj,i——第i个项目中,小型施工机具不列入机械台班消耗量,但其消耗的能源列入材料的部分能源用量(kwh); i——分部分项工程中项目序号;
j——施工机械序号。 5.2.5 措施项目的能耗计算应符合下列规定: 1 脚手架、模板及支架、垂直运输、建筑物超高等可计算工程量的措施项目,其能耗应按下列公式计算:
式中:Qcs,i——措施项目中第i个项目的工程量; fcs,i——措施项目中第i个项目的能耗系数(kwh/工程量计量单位); TA-i,j——第i个措施项目单位工程量第j种施工机械台班消耗量(台班); Rj——第i个项目第j种施工机械单位台班的能源用量(kwh/台班),按本标准附录C对应的机械类别确定; i——措施项目序号; j——施工机械序号。 2 施工降排水应包括成井和使用两个阶段,其能源消耗应根据项目降排水专项方案计算。
3 施工临时设施消耗的能源应根据施工企业编制的临时设施布置方案和工期计算确定。 5.3 建筑拆除5.3 建筑拆除
5.3.1 建筑拆除阶段的单位建筑面积的碳排放量应按下式计算:
式中:CCC——建筑拆除阶段单位建筑面积的碳排放量(kgCO2/m2); Ecc,i——建筑拆除阶段第i种能源总用量(kWh或kg); EFi——第i类能源的碳排放因子(kgCO2/kWh),按本标准附录A确定;
A——建筑面积(m2)。 5.3.2 建筑物人工拆除和机械拆除阶段的能源用量应按下列公式计算:
式中:Ecc——建筑拆除阶段能源用量(kwh或kg); Qcc,i——第i个拆除项目的工程量; fcc,i——第i个拆除项目每计量单位的能耗系数(kwh/工程量计量单位或kg/工程量计量单位); TB-i,j——第i个拆除项目单位工程量第j种施工机械台班消耗量; Rj——第i个项目第j种施工机械单位台班的能源用量; i——拆除工程中项目序号;
j——施工机械序号。 5.3.3 建筑物爆破拆除、静力破损拆除及机械整体性拆除的能源用量应根据拆除专项方案确定。 5.3.4 建筑物拆除后的垃圾外运产生的能源用量应按本标准第6.3节的规定计算。 6 建材生产及运输阶段碳排放计算 6.1 一般规定6.1 一般规定
6.1.1 建材碳排放应包含建材生产阶段及运输阶段的碳排放,并应按现行国家标准《环境管理 生命周期评价 原则与框架》GB/T 24040、《环境管理 生命周期评价 要求与指南》GB/T 24044计算。 6.1.2 建材生产及运输阶段的碳排放应为建材生产阶段碳排放与建材运输阶段碳排放之和,并应按下式计算:
式中:CJC——建材生产及运输阶段单位建筑面积的碳排放量(kgCO2e/m2); Csc——建材生产阶段碳排放(kgCO2e); Cys——建材运输过程碳排放(kgCO2e); A——建筑面积(m2)。 6.1.3 建材生产及运输阶段碳排放计算应包括建筑主体结构材料、建筑围护结构材料、建筑构件和部品等,纳入计算的主要建筑材料的确定应符合下列规定: 1 所选主要建筑材料的总重量不应低于建筑中所耗建材总重量的95%;
2 当符合本条第1款的规定时,重量比小于0.1%的建筑材料可不计算。 6.2 建材生产6.2 建材生产
6.2.1 建材生产阶段碳排放应按下式计算:
式中:Csc——建材生产阶段碳排放(kgCO2e); Mi——第i种主要建材的消耗量; Fi——第i种主要建材的碳排放因子(kgCO2e/单位建材数量),按本标准附录D取值。
6.2.2 建筑的主要建材消耗量(Mi)应通过查询设计图纸、采购清单等工程建设相关技术资料确定。 6.2.3 建材生产阶段的碳排放因子(Fi)应包括下列内容: 1 建筑材料生产涉及原材料的开采、生产过程的碳排放; 2 建筑材料生产涉及能源的开采、生产过程的碳排放; 3 建筑材料生产涉及原材料、能源的运输过程的碳排放;
4 建筑材料生产过程的直接碳排放。
6.2.4 建材生产阶段的碳排放因子宜选用经第三方审核的建材碳足迹数据。当无第三方提供时,缺省值可按本标准附录D执行。
6.2.5 建材生产时,当使用低价值废料作为原料时,可忽略其上游过程的碳过程。当使用其他再生原料时,应按其所替代的初生原料的碳排放的50%计算;建筑建造和拆除阶段产生的可再生建筑废料,可按其可替代的初生原料的碳排放的50%计算,并应从建筑碳排放中扣除。 6.3 建材运输6.3 建材运输
6.3.1 建材运输阶段碳排放应按下式计算:
式中:Cys——建材运输过程碳排放(kgCO2e); Mi——第i种主要建材的消耗量(t); Di一—第i种建材平均运输距离(km); Ti———第i种建材的运输方式下,单位重量运输距离的碳排放因子[kgCO2e/(t·km)]。 6.3.2 主要建材的运输距离宜优先采用实际的建材运输距离。当建材实际运输距离未知时,可按本标准附录E中的默认值取值。
6.3.3 建材运输阶段的碳排放因子(Ti)应包含建材从生产地到施工现场的运输过程的直接碳排放和运输过程所耗能源的生产过程的碳排放。建材运输阶段的碳排放因子(Ti)可按本标准附录E的缺省值取值。 ▼ 展开条文说明 表A.0.1 化石燃料碳排放因子
本标准用词说明 本标准用词说明
1 为便于在执行本标准条文时区别对待,对要求严格程度不同的用词说明如下: 1)表示很严格,非这样做不可的: 正面词采用“必须”,反面词采用“严禁”; 2)表示严格,在正常情况下均应这样做的: 正面词采用“应”,反面词采用“不应”或“不得”; 3)表示允许稍有选择,在条件许可时首先应这样做的: 正面词采用“宜”,反面词采用“不宜”; 4)表示有选择,在一定条件下可以这样做的,采用“可”。 2 条文中指明应按其他有关标准执行的写法为:“应符合……的规定”或“应按……执行”。
引用标准名录 引用标准名录
1 《民用建筑节水设计标准》GB 50555 2 《环境管理 生命周期评价 原则与框架》GB/T 24040 3 《环境管理 生命周期评价 要求与指南》GB/T 24044 4 《建筑节能气象参数标准》JGJ/T 346 |

手机版


































